ওয়েবারের সূত্রটি (Weber’s Law) মনোবিজ্ঞানের একটি মৌলিক নীতি, যা উদ্দীপকের তীব্রতা এবং সেই উদ্দীপকের পরিবর্তন অনুধাবন করার ক্ষমতা-এর মধ্যে সম্পর্ক ব্যাখ্যা করে। এটিকে সাধারণত ওয়েবার-ফেখনারের সূত্র (Weber-Fechner Law)-এর অংশ হিসাবে দেখা হয়।
ওয়েবারের সূত্রের মূল কথা
ওয়েবারের সূত্র বলে যে, একটি উদ্দীপকের ন্যূনতম যে পরিবর্তনটুকু একজন মানুষ অনায়াসে (Just Noticeable Difference বা JND) অনুভব করতে পারে, তা সেই আসল বা মূল উদ্দীপকের তীব্রতার একটি ধ্রুবক অনুপাত।
সহজ কথায়, উদ্দীপক যত তীব্র হবে, তার পরিবর্তনটুকু লক্ষ্য করতে হলে তার পরিমাণগত পরিবর্তনও তত বেশি হতে হবে।
গাণিতিক রূপ
ওয়েবারের সূত্রটিকে নিম্নলিখিত গাণিতিক আকারে প্রকাশ করা হয়:


একটি উদাহরণ
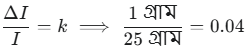
মনে করুন, আপনি ২৫ গ্রাম ওজনের একটি বস্তু ধরে আছেন। আপনি লক্ষ্য করলেন যে, এতে অতিরিক্ত ১ গ্রাম যোগ করলে আপনি ওজনের পার্থক্য বুঝতে পারছেন

। এক্ষেত্রে:

অর্থাৎ, এক্ষেত্রে ওয়েবারের ধ্রুবক (k) হলো $0.04$ বা ৪%।
যদি আপনি ১০০ গ্রাম ওজনের একটি বস্তু ধরে থাকেন, তবে পার্থক্য বুঝতে হলে আপনার ঠিক একই অনুপাতের (৪%) অতিরিক্ত ওজন যোগ করতে হবে।

সুতরাং, ২৫ গ্রাম থেকে ২৬ গ্রাম-এর পার্থক্য বোঝা গেলেও, ১০০ গ্রাম থেকে ১০১ গ্রাম-এর পার্থক্য বোঝা যাবে না। পার্থক্য বুঝতে হলে ওজন কমপক্ষে ৪ গ্রাম বাড়িয়ে ১০৪ গ্রাম করতে হবে।


